
PDF Publication Title:
Text from PDF Page: 005
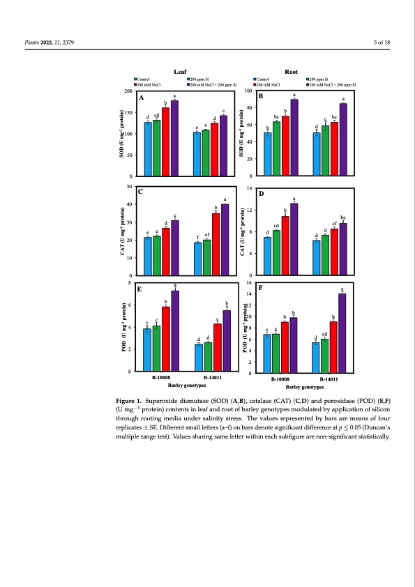
Plants 2022, 11, 2379 (14%, 34%), APX (26%, 33%) and POD (28, 54%) was found in leaves and roots of sensitive genotype (B-14011). Whereas the rooting application of Si under salinity stress in tolerant genotype (B-10008) resulted in the synthesis of higher leaf and root CAT (16%, 22%) and GR (24%, 15%) contents, respectively. The Si-mediated enhancement in the accumulation of enzymatic antioxidants was comparatively higher in genotype B-14011 5 of 18 comparable to B-10008 under salt stress after application of Si through rooting media (Figures 1 and 2). 200 150 100 50 0 100 80 60 40 20 0 Control 200 mM NaCl 200 ppm Si 200 mM NaCl + 200 ppm Si B a b b a bc c bc d 50 40 30 20 10 0 Control 200 mM NaCl 200 ppm Si 200 mM NaCl + 200 ppm Si d cd c ee Leaf d 16 12 8 4 0 Root A a b C ee c d a b f ef D cd d a b bc cf d d 8 6 4 2 0 16 14 12 10 8 6 4 2 0 E c a b b cc B-10008 B-14011 Barley genotypes dd Fiigurre1..Superroxiidedisismuutatassee(S(SOODD))(A(A,B,B),)c,actatlalsaese(C(ACTA)T()C(,CD,)Da)nadnpdeproexroidxaidseas(ePO(PDO)D(E),F(E),(FU) mg−1 p−r1otein) contents in leaf and root of barley genotypes modulated by application of silicon (U mg protein) contents in leaf and root of barley genotypes modulated by application of silicon through rooting media under salinity stress. The values represented by bars are means of four through rooting media under salinity stress. The values represented by bars are means of four replicates ± SE. Different small letters (a–f) on bars denote significant difference at p ≤ 0.05 replicates ± SE. Different small letters (a–f) on bars denote significant difference at p ≤ 0.05 (Duncan’s (Duncan’s multiple range test). Values sharing same letter within each subfigure are multiple range test). Values sharing same letter within each subfigure are non-significant statistically. non-significant statistically. Fa bbb cc d cd B-10008 B-14011 Barley genotypes POD (U mg-1 protein) CAT (U mg-1 protein) SOD (U mg-1 protein) POD (U mg-1 protein) CAT (U mg-1 protein) SOD (U mg-1 protein)PDF Image | Silicon-Induced Mitigation of NaCl Stress in Barley
PDF Search Title:
Silicon-Induced Mitigation of NaCl Stress in BarleyOriginal File Name Searched:
plants-11-02379.pdfDIY PDF Search: Google It | Yahoo | Bing
Product and Development Focus for Salgenx
Redox Flow Battery Technology: With the advent of the new USA tax credits for producing and selling batteries ($35/kW) we are focussing on a simple flow battery using shipping containers as the modular electrolyte storage units with tax credits up to $140,000 per system. Our main focus is on the salt battery. This battery can be used for both thermal and electrical storage applications. We call it the Cogeneration Battery or Cogen Battery. One project is converting salt (brine) based water conditioners to simultaneously produce power. In addition, there are many opportunities to extract Lithium from brine (salt lakes, groundwater, and producer water).Salt water or brine are huge sources for lithium. Most of the worlds lithium is acquired from a brine source. It's even in seawater in a low concentration. Brine is also a byproduct of huge powerplants, which can now use that as an electrolyte and a huge flow battery (which allows storage at the source).We welcome any business and equipment inquiries, as well as licensing our flow battery manufacturing.| CONTACT TEL: 608-238-6001 Email: greg@salgenx.com | RSS | AMP |