
PDF Publication Title:
Text from PDF Page: 005
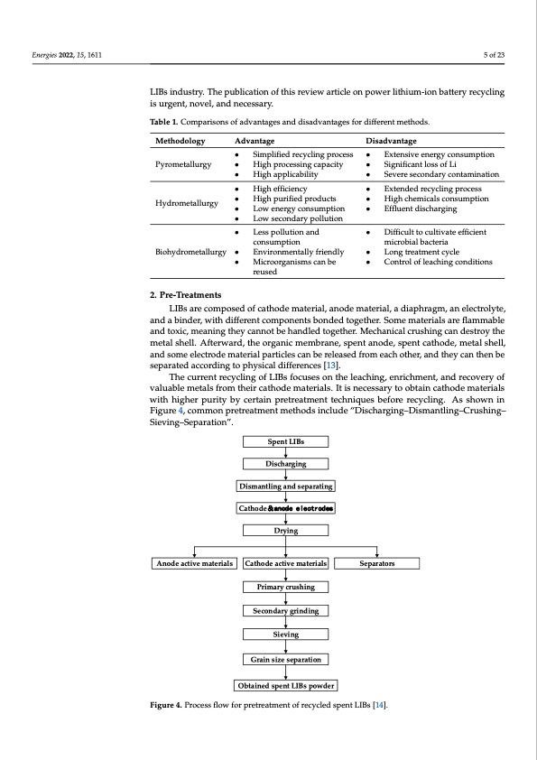
Energies 2022, 15, 1611 5 of 23 LIBs industry. The publication of this review article on power lithium-ion battery recycling is urgent, novel, and necessary. Table 1. Comparisons of advantages and disadvantages for different methods. Methodology Advantage Disadvantage Hydrometallurgy • High efficiency • • High purified products • • Low energy consumption • • Low secondary pollution • Less pollution and • consumption • Simplified recycling process • High processing capacity • Extensive energy consumption Significant loss of Li Severe secondary contamination Extended recycling process High chemicals consumption Effluent discharging Difficult to cultivate efficient microbial bacteria Long treatment cycle Control of leaching conditions Pyrometallurgy • • High applicability • Environmentally friendly • reused Biohydrometallurgy • • Microorganisms can be • 2. Pre-Treatments LIBs are composed of cathode material, anode material, a diaphragm, an electrolyte, and a binder, with different components bonded together. Some materials are flammable Energies 2022, 14, x FOR PEER REVIEW 6 of 24 and toxic, meaning they cannot be handled together. Mechanical crushing can destroy the metal shell. Afterward, the organic membrane, spent anode, spent cathode, metal shell, and some electrode material particles can be released from each other, and they can then be and some electrode material particles can be released from each other, and they can then separated according to physical differences [13]. be separated according to physical differences [13]. The current recycling of LIBs focuses on the leaching, enrichment, and recovery of The current recycling of LIBs focuses on the leaching, enrichment, and recovery of valuablleemeetatlaslsfrformomthtehireciratchaotdheomdeatmeraiatlesr.iIatlis.nIteciessnsaercyestosaorbytationocabthaoindecamtahtoerdiaelsmaterials withhigheerrppuurirtiytybybycecrtearitnaipnreptreattrmeaetnmtetencthnteiqcuhensiqbuefeosreberefocyreclirnegc.yAclsinsgh.owAnsinshownin Figure 4, common pretreatment methods include “Discharging–Dismantling–Crushing– Figure 4, common pretreatment methods include “Discharging–Dismantling–Crushing– Sieving–Separation “. Sieving–Separation”. Spent LIBs Discharging Dismantling and separating Cathode&anode electrodes Drying Anode active materials Cathode active materials Secondary grinding Figure 4..PProrocecsessfloflwowforfopreptreatrtmeaetnmt eonf treocfyrcelecdycspleedntsLpIeBnst[L14IB]. s [14]. 2.1. Discharging Process Spent LIBs may contain a large amount of charge, and when the anode is in direct contact with the cathode, it will explode due to short circuit and spontaneous combustion and release a great deal of heat in a short period of time, while direct disassembly and Separators Primary crushing Sieving Grain size separation Obtained spent LIBs powderPDF Image | Recycling of Lithium Batteries
PDF Search Title:
Recycling of Lithium BatteriesOriginal File Name Searched:
energies-15-01611.pdfDIY PDF Search: Google It | Yahoo | Bing
Product and Development Focus for Salgenx
Redox Flow Battery Technology: With the advent of the new USA tax credits for producing and selling batteries ($35/kW) we are focussing on a simple flow battery using shipping containers as the modular electrolyte storage units with tax credits up to $140,000 per system. Our main focus is on the salt battery. This battery can be used for both thermal and electrical storage applications. We call it the Cogeneration Battery or Cogen Battery. One project is converting salt (brine) based water conditioners to simultaneously produce power. In addition, there are many opportunities to extract Lithium from brine (salt lakes, groundwater, and producer water).Salt water or brine are huge sources for lithium. Most of the worlds lithium is acquired from a brine source. It's even in seawater in a low concentration. Brine is also a byproduct of huge powerplants, which can now use that as an electrolyte and a huge flow battery (which allows storage at the source).We welcome any business and equipment inquiries, as well as licensing our flow battery manufacturing.| CONTACT TEL: 608-238-6001 Email: greg@salgenx.com | RSS | AMP |